在工程结构设计和材料科学领域,强度与刚度常常被提及,它们是衡量和选择材料时的重要考量因素。但这两者在概念上有着本质的区别,且它们之间的联系对于确保结构的可靠性和安全性至关重要。也常有人因将二者混淆而闹了笑话。

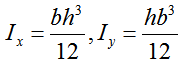
。截面惯性矩是衡量构件截面抗弯能力的一个参数,惯性矩越大,物体越难弯曲,表明其抗弯能力就越强。以下图示矩形截面为例:构件截面宽b,高h,则其对x、y中和轴的截面惯性矩分别为:
。

有了以上基础知识储备,我们开始本文的主题——什么强度、什么刚度。
强度:是指材料抵抗变形和破坏的能力。更具地的说,强度是指在外力(或荷载)作用下,材料能够承受的最大应力而不发生断裂。强度是决定材料是否能够在载荷作用下保持完整性的关键参数。
根据外力作用方式不同,可分为抗拉强度、抗压强度、抗剪强度、抗弯强度等。如壁厚≤16mm的Q235钢材,其抗拉、抗压和抗弯强度设计值f=215Mpa,抗剪强度设计值fv=125Mpa。
刚度:更确切的说是相同或不同材料组成的“构件的刚度”,指构件在受到外力作用时抵抗形变的能力,它与材料的形变量成反比,其外力表达形式为
。
《高层建筑混凝土结构技术规程》JGJ 3-2010第3.5.2-1条框架结构相邻楼层的侧向刚度比公式,就是由此推导:


;强度是材料的一种基本物理特性,不随其所组成构件的形状、大小、厚度等改变而改变(两片强度1500Mpa的钢材叠放一起其强度依然是1500Mpa)。
相同构件截面情况下,材料强度越大,构件刚度就越大,其承载力就越高;
相同材料强度情况下,截面尺寸越大,构件刚度就越大,其承载力就越高。
在建筑结构设计中,有大量涉及调整强度或刚度的内容,比如结构设计中采用高强度钢筋,以减少用钢量。再比如在“如何调整结构剪重比”一文中提到,当结构剪重比不满足规范要求时,可采用调整“强度”或调整“刚度”两种方式。此处也许有人会问,强度不是材料的固有物理特性吗,怎么还能“调整”呢。这是因为钢筋混凝土构件属于非匀质材料(由钢筋和混凝土两种材料组成),所谓的调整“强度”就是增大楼层地震剪力后,结构构件中钢筋的配置会增大,钢筋混凝土构件的“等效强度”就增大了。
在桥梁结构设计中,结构工程师必须确保所用材料具有足够的强度来承受车辆和其他荷载,同时还必须具备足够的刚度以防止桥梁在荷载作用下弯曲变形或震动。
在航空领域,飞机的材料必须轻而强,同时还要有足够的刚度来抵抗空气动力和其他作用力。

在汽车领域,车体要有足够的刚度,以保证其在遭受碰撞、挤压时避免车架出现过大变形。在相同的刚度要求下,提高车体钢材的强度,可以适当减小钢材的厚度,可以达到减轻车体用量从而降低能耗的目的。当然,在相同车钢材厚度情况下,提高车体钢材的强度,可以有效的提高车体的抗扭、抗弯、抗剪刚度,从而可以达到提高车体安全度的目的。所以,较多车企会在宣传中提到其车身大量采用高强钢来强调车体的安全性。
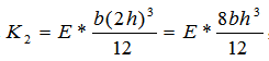
文章开头提到的某车企将车体顶纵梁用两个1500Mpa钢材叠加的做法,该工程师想要表达的是“大大提高了车体刚度,安全度更高了”。

,
,
。所以,钢材厚度增加1倍,其抗弯刚度增大了8倍!各位,此处请稍停片刻,再想一下上面两句话,你会对“刚度”与“强度”有另一层次的理解。
( 本文系浙江顺为工程技术有限公司摘录于互联网,仅供参考。如涉及版权问题,请和我们联系。)